

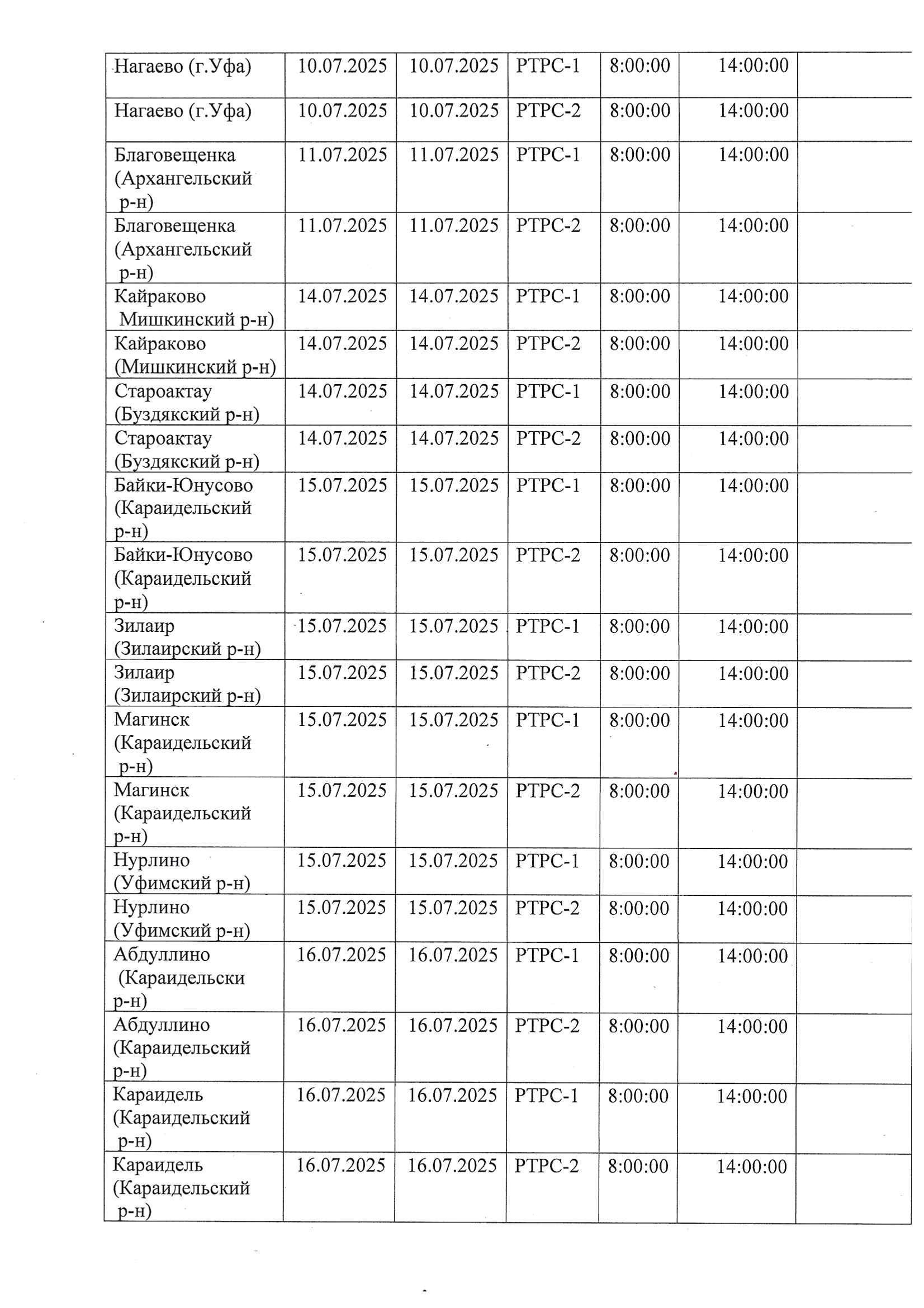
Это связано с профилактическими работами, сообщает пресс-служба Российской телевизионной и радиовещательной сети.
Время отключения трансляции в каждом из населенных пунктов составит от шести до девяти часов. С графиком отключения можно ознакомиться ниже.
Источник информации и фото: газета "Республика Башкортостан".